Abstract
Background: Lenalidomide, bortezomib and dexamethasone (RVD) has been shown to be a well-tolerated and efficacious induction regimen in newly diagnosed myeloma patients. Two large randomized phase III trials show an overall response rate (ORR) >95% (Durie et al, Attal et al) supporting this combination regimen. We have conducted a retrospective analysis utilizing our institutional data of 1000 patients treated with RVD induction therapy at the Winship Cancer Institute of Emory University.
Methods: 1000 newly diagnosed MM patients were treated with RVD induction therapy [R - 25 mg/day (days 1-14), V - 1.3 mg/m2 (days 1, 4 8, 11) and D - 40 mg once/twice weekly as tolerated every 21 days] from January 1st 2005 until August 31st 2016. Dose-adjustments were made based on the treating physician's discretion and patient tolerability. Demographic and outcomes data for the patients were obtained from our IRB approved myeloma database and responses were evaluated per IMWG Uniform Response Criteria.
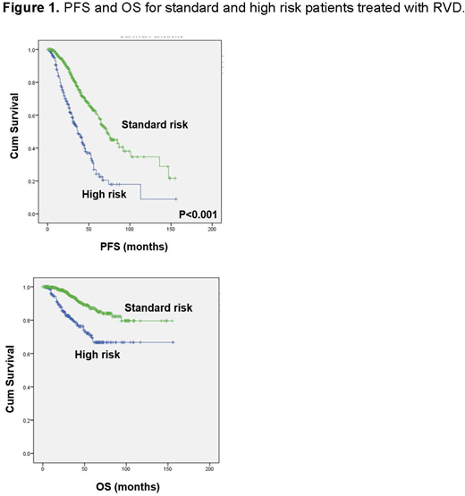
Results: The median age of this cohort was 61 years (range 16-83). Other notable patient characteristics include: M/F 54.3%/45.6%; W/AA 56.4%/34%; ISS I and II/III 54%/17%; Isotype IgG/IgA/FLC 59.1%/19%/15.8%; standard risk/high risk 72%/28%. High risk disease was defined as the presence of t(4;14), t(14;16), del(17p), and/or complex karyotype. A total of 835 patients (83.5%) underwent autologous stem cell transplant (ASCT) upfront after attaining at least a partial response with induction therapy, and 165 patients (16.5%) were offered deferred transplant. Among the patients that opted for deferred transplant, 56 of these patients (33.9%) underwent ASCT at first relapse with a median time to transplant of 30 months (3-96). 755 (75.5%) of patients received risk-stratified maintenance therapy following transplant. Evaluation of responses to induction therapy for the entire cohort show an ORR 97.3% with ≥VGPR of 68% post-induction therapy. Response rates 100 days post-transplant show an ORR 98% with 30.7% of patients achieving a sCR. Response rates are summarized in table 1. Median PFS was 63 months for the entire cohort, and 72 months for standard risk patients (61.75-82.25) versus 37 months for the high-risk patients (30.84-43.16), p<0.001. Median OS has not been reached at median of 38 months follow up (Figure 1).
Conclusions: This is the largest reported cohort of myeloma patients treated with RVD induction. These results illustrate both the activity of this induction regimen with impressive response rates and long-term outcomes in both standard and high risk patients.
Hofmeister:Adaptive biotechnologies: Membership on an entity's Board of Directors or advisory committees; Celgene: Membership on an entity's Board of Directors or advisory committees, Research Funding; Oncopeptides: Membership on an entity's Board of Directors or advisory committees; Bristol-Myers Squibb: Research Funding; Janssen: Membership on an entity's Board of Directors or advisory committees. Heffner:ADC Therapeutics: Research Funding; Kite Pharma: Research Funding; Genentech: Research Funding; Pharmacyclics: Research Funding. Boise:AstraZeneca: Honoraria; Abbvie: Consultancy. Kaufman:BMS: Consultancy; Karyopharm: Other: data monitoring committee; Abbvie: Consultancy; Janssen: Consultancy; Roche: Consultancy. Lonial:Amgen: Research Funding. Nooka:GSK: Consultancy, Membership on an entity's Board of Directors or advisory committees; Adaptive technologies: Consultancy, Membership on an entity's Board of Directors or advisory committees; Amgen: Consultancy, Membership on an entity's Board of Directors or advisory committees; Celgene: Consultancy, Membership on an entity's Board of Directors or advisory committees; Takeda: Consultancy, Membership on an entity's Board of Directors or advisory committees; Janssen pharmaceuticals: Consultancy, Membership on an entity's Board of Directors or advisory committees; Spectrum Pharmaceuticals: Consultancy, Membership on an entity's Board of Directors or advisory committees; BMS: Consultancy, Membership on an entity's Board of Directors or advisory committees.
Author notes
Asterisk with author names denotes non-ASH members.
